成功案例

首页 - 成功案例 案例管理

products 产品列表

 RV减速机测试台
来源: 点击数:30575次 更新时间:2022/11/17 10:21:39

皇冠官方app


减速机测试台也可称为减速机测试平台,是主动力(电动机)输入动力扭矩后,通过减速机再输出动力的大小,通过测试台平台进行测量,减速机测试台是研究各种齿轮传动、带传动及无级变速传动的传动性能。
输出的电机可以是交流电机还可划分:单相电机和三相电机。
按结构和工作原理可划分:可分为直流电动机、异步电动机、同步电动机。

感应电动机可划分:三相异步电动机、单相异步电动机和罩极异步电动机等。
交流换向器电动机可划分:单相串励电动机、交直流两用电动机和推斥电动机。


3.按起动与运行方式可划分:电容起动式单相异步电动机、电容运转式单相异步电动机、电容起动运转式单相异步电动机和分相式单相异步电动机。


皇冠官方app

  我们的标准客户:格力空调、双环、传仕、振康等。
     减速机使用的目的是降低转速,增加转矩。

速比=电机输出转数÷减速机输出转数("速比"也称"传动比")1.知道电机功率和速比及使用系数,求减速机扭矩如下公式:

减速机扭矩=9550×电机功率÷电机功率输入转数×速比×使用系数2.知道扭矩和减速机输出转数及使用系数,求减速机所需配电机功率如下公式:

电机功率=扭矩÷9550×电机功率输入转数÷速比÷使用系数它的种类繁多,型号各异,不同种类有不同的用途。
减速器按照传动类型可分为齿轮减速机蜗杆减速机行星齿轮减速机
按照传动级数不同可分为单级多级减速机
按照齿轮形状可分为圆柱齿轮减速机圆锥齿轮减速机圆锥-圆柱齿轮减速机
按照传动的布置形式又可分为展开式、分流式同轴式减速机

常用的减速机分类:1、摆线减速机 2、硬齿面圆柱齿轮减速器 3、行星齿轮减速机4、软齿面减速机 5、三环减速机 6、起重机减速机  7、蜗杆减速机  8、轴装式硬齿面减速机 9、无级变速机


蜗轮蜗杆减速机的主要特点是具有反向自锁功能,可以有较大的减速比,输入轴和输出轴不在同一轴线上,也不在同一平面上。但是一般体积较大,传动效率不高,精度不高。

谐波减速机的谐波传动是利用柔性元件可控的弹性变形来传递运动和动力的,体积不大、精度很高,但缺点是柔轮寿命有限、不耐冲击,刚性与金属件相比较差。输入转速不能太高。

皇冠官方app
徐工集团 50000N.m行星减速机对拖测试台

皇冠官方app北京首航 30000N.mRV行星减速机测试台


皇冠官方app
东莞卓蓝 行星减速机测试台

行星减速机其优点是结构比较紧凑,回程间隙小、噪声小、精度较高,使用寿命很长,额定输出扭矩可以做的很大。但价格略贵。

种类

1、减速器按用途可分为通用减速器和专用减速器两大类,两者的设计、制造和使用特点各不相同。其主要类型:齿轮减速器;蜗杆减速器;齿轮—蜗杆减速器;行星齿轮减速器。

2、一般的减速器有斜齿轮减速器(包括平行轴斜齿轮减速器、蜗轮减速器、锥齿轮减速器等等)、行星齿轮减速器、摆线针轮减速器、蜗轮蜗杆减速器、行星摩擦式机械无级变速机等等。

1)圆柱齿轮减速器 单级、二级、二级以上二级。布置形式:展开式、分流式、同轴式。

2)圆锥齿轮减速器 用于输入轴和输出轴位置成相交的场合。

3)蜗杆减速器 主要用于传动比i>10的场合,传动比较大时结构紧凑。其缺点是效率低。目前广泛应用阿基米德蜗杆减速器。

4)齿轮—蜗杆减速器:若齿轮传动在高速级,则结构紧凑;若蜗杆传动在高速级,则效率较高。

5)行星齿轮减速器传动效率高,传动比范围广,传动功率12W~50000KW,体积和重量小。

3、常见减速器的种类

1)减速器的主要特点是具有反向自锁功能,可以有较大的减速比,输入轴和输出轴不在同一轴线上,也不在同一平面上。但是一般体积较大,传动效率不高,精度不高。

2)谐波减速机轴承的谐波传动是利用柔性元件可控的弹性变形来传递运动和动力的,体积不大、精度很高,但缺点是柔轮寿命有限、不耐冲击,刚性与金属件相比较差。输入转速不能太高。

3)行星减速器其优点是结构比较紧凑,回程间隙小、精度较高,使用寿命很长,额定输出扭矩可以做的很大。但价格略贵。


一般机器的功率在设计并制造出来后,其额定功率就不在改变,这时,速度越大,则扭矩(或扭力)越小;速度越小,则扭力越大。



  1.     评价产品质量的重要设备。通过试验可以检验传动装置设计的合理性,加工、制造、装配和调试的工艺性。对试验结果的深入分析将有助于了解和评定传动部件和装置的综合机械性能,同时也为工程设计人员提供实践的参考资料和设计依据。

  2. 测量参数: 减速机输入转矩、转速、功率;

    输出转矩、转速、功率;

    换算出效率

    振动、噪音、温升等

  3. 测量精度: 转矩、转速、功率、减速机效率 ±0.2%F.S

    温度 ±0.2℃

  4. 加载方式:磁粉制动器加载、磁滞制动器加载、电涡流制动器加载、电力回馈加载

  5. 安装方式:

    大底板采用HT200铸铁平台(退回处理),表面磨削加工,保证平面度小于0.05mm。平台下面安装减震垫、水平调整垫铁;

    被测减速机分别安装在滑动平台上,可以分别前后移动、锁紧,方便安装减速机;确保安装同心度≤0.03mm

    联轴节:采用弹性柱销(膜片、梅花、柱销)式联轴节。

    被测减速机通过支架安装在滑动平台上,采用同一个安装支架,不同型号更换不同法兰、联轴器。

    具体结构双方沟通,以最终双方确定的图纸为准

  6. 软件功能:

    用于测试伺服电机、驱动器、行星减速机的各项参数。

    可电脑、仪表显示、存储、打印各项参数;并显示、存储、打印各参数之间的曲线关系

    可手动加载、程控加载;程序控制主动电机的转速、时间等

  7. 最终验收

    设备在甲方现场调试完成后,双方对设备的机械、电气、软件进行最终验收,合格后双方签字确认,不合格项目继续整改,直到合格为止。

  8. 售后服务

    测功机在验收合格后12个月内(转矩转速传感器为24个月),所有部件、仪表如出现故障

    (非人为造成)一律实行三包,能快递更换的快递更换,能够电话解决的电话解决,解决不了,乙方需在24小时内到达使用现场。非乙方原因造成的设备故障,将按成本收取材料费、路费、人工工时。12个月后乙方将在24小时内到达使用现场有偿服务。

  9. 调试培训

    乙方在接到甲方电话要求调试后,48个小时内必须到达需方使用现场,3天内调试完毕,其期间可免费培训需方操作人员。


减速机测试台理论知识:
减速机是降低原动机转速、增大转矩的一种机械传动装置,属于工业基础件,由于减速机的性能测试对减速机的进一步发展和改进起着非常重要的作用 , 故减速机的测试研究在国内外均得到了重视和发展,如重庆大学的机械传动国家重点实验室对精密传动减速机的性能测试进行的一系列研究 。
而本文阐述的是针对自主研发的三环内平动齿轮减速机样机开发的一套高精度的减速机性能测试试验台, 用于测试已研制的减速机样机的机械效率、角度传递误差等性能。建立该试验台系统的仿真模型进行仿真试验,得到仿真试验曲线,为减速器性能测试的试验研究提供理论依据 。

1 减速机性能测试试验台结构设计及工作原理:
此减速机性能测试试验台可用于测试减速器的传动效率 、 角度传递误差等动态性能 , 由磁粉制动器 、 变速箱 、 转矩转速传感器 、 圆光
栅 、 永磁同步伺服电机 ( PMSM) 等组成 , 其结构设计如图 1 所示 。
皇冠官方app
磁粉制动器作为加载装置 ,并通过变速箱增大扭矩实现对被测减速器的加载 , 磁粉制动器由直流稳压电源提供控制电压 , 实现对转矩的控制 [ 1] 。 永磁同步伺服电机作为驱动装置 , 伺服电机控制采用工控机和运动控制卡的方式 [ 2] 。 被测减速器输入 、 输出轴的圆光栅用于测试瞬时回转角度 , 转矩转速传感器用于测试转矩 、 转速和功率 。 试验台的工作原理如图 2 所示
皇冠官方app

2 减速器性能测试试验台各组成部分的数学模型
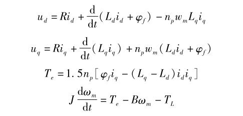
2. 1  基于 dq 旋转坐标的 PMSM 数学模型在不影响控制性能的前提下 , 假设忽略电动机铁芯的饱和 、 永磁材料的导磁率为零 、 不计涡流和磁滞损耗 、 三相绕组是对称和均匀的 、 绕组中感应电动势波形是正弦波 [ 3] 。 在 dq 旋转坐标系中 , PMSM 的定子电压 ( u d 、 u q ) 、 电磁转矩 T e和运动方程为
皇冠官方app
式中 , R 为定子绕组电阻 ; i d 、 i q 为 dq 轴定子电流 ; L d 、 L q 为 dq 轴定子电感 ; 为转子上的永磁体产生的磁链 ; ω m 为转子角速度 ; n p 为极对数 ; B 为电机黏滞摩擦系数 ; J 为电机转动惯量 ; T L 为负载转矩 。
永磁同步伺服电机采用 i d = 0 矢量控制方式 , 矢量控制原理图如图 3 所示 [ 4] 。
皇冠官方app

2. 2  转速控制系统数学模型
以伺服电机的角速度 ω m 作为转速控制系统的输入 , 以被测减速器输出轴端的角位移 θ o 作
为输出 , 得到其动力学模型如图 4 所示
皇冠官方app
皇冠官方app

皇冠官方app

皇冠官方app
4 仿真试验
对图 8 所示的系统仿真模型进行仿真试验 ,伺服电机的额定功率为 5. 5 kW, 额定转矩为 35N· m。 设置电机参数 : 转子转动惯量为 89. 0 ×10-4kg· m 2 , 黏滞摩擦系数为 B = 0 N· m· s,定子电阻为 R = 2. 875Ω, 定子电感为 L d = L q =8. 5 × 10-3H, 转子磁场磁通为 φ f = 0. 175Wb,极对数为 n P =2。
4. 1  过渡过程仿真试验其目的是测试试验系统是否符合伺服驱动系统的性能 [ 8] 。 在空载的情况下设定 PMSM 的转速为 800 r/ min, 仿真时间为 1 s, 得到电机的转速图如图 12 所示 。 由图 12 可知 , 上升时间 t r =0. 02 s, 超调时间 t p = 0. 029 s, 调整时间 t s =0. 382 s, 超调量为 2. 43%, 伺服电机经过过渡过程后 , 转速稳定在 800 r/ min。 且伺服电机启动后 , 能迅速达到最大值 , 然后稳定在正常值 ,说明设计的控制系统快速性较好 , 具有较好的静动态特性 , 符合试验的需要 [ 8] 。
4. 2  空载仿真试验空载仿真试验时取伺服电机转速为 1 000 r/min, 仿真时间为 1s, 得到仿真曲线如图 13 所示 。 由图 13 可知 , 伺服电机经过过渡过程转速稳定在 1 000 r/ min, 被测减速器输出轴转速稳定在 12. 343 r/ min, 从而计算传动比约为 81, 恰好为被测减速器设计的传动比 , 从而验证了系统仿真模型的正确性 。
4. 3  加载仿真试验加载仿真试验时设定伺服电机转速为 1 000r/ min, 仿真时间为 1 s, 在 0. 1 s 时调节磁粉制动器的直流稳压电源 , 从而使磁粉制动器进行加载 , 得到仿真曲线如图 14 所示 。 由图 14 可知 ,0. 1 s 调节直流稳压电源时 , 由于磁粉制动器滞后时间 0. 65 s, 所以如图 14a 所示 , 磁粉制动器在 0. 75 s 时得到加载转矩 13. 365 N· m, 经过变速箱增大转矩后 , 如图 14b 所示被测减速器输出转矩 0. 75 s 后大约稳定在 1 086 N· m。 而加载时电机转速 - 时间曲线在 0. 75 s 后转速只有一个很小的振荡过程就重新稳定在 1 000 r/ min, 这符合永磁同步电机机械特性较硬的特点 , 同时被测减速器输出转速 - 时间曲线也有一个振荡过程 ,输出转速又恢复稳定值 12. 343 r/ min [ 8-9] 。


结论
本文通过建立减速器性能测试试验台各组成部分的数学模型 , 利用 Simulink 对系统仿真模型进行过渡过程 、 空载和加载情况下的仿真试验 ,得到仿真输出曲线与实际情况相符 , 说明所建立的系统数学模型的正确性 , 且建立的仿真模型有助于进一步分析设计参数对系统性能的影响 , 也为减速器性能测试的试验研究提供理论依据 。
参考文献 :
[ 1]   汪伟 . 变速箱齿轮传动试验台的设计与仿真研究[ J] . 公路与汽运 , 2005( 6) : 10 -12.
[ 2]   秦晓峰 . 机械传动试验台测控系统的设计 [ D] . 重庆 : 重庆大学 , 2007: 20.
[ 3]   董学明 . 抽油机用新型永磁电动机控制系统研究[ D] . 杭州 : 浙江大学 , 2006: 23.
[ 4]   贺昱曜 . 运动控制系统 [ M] . 西安 : 西安电子科技大学出版社 , 2009.
[ 5]   董景新 , 赵长德 , 郭美凤 , 等 . 控制工程基础 ( 第3 版 ) [ M] . 北京 : 清华大学出版社 , 2009, 6.
[ 6]   熊玲 . 抽油机载荷的模拟与控制仿真研究 [ D] .武汉 : 武汉理工大学 , 2010: 43 -44.
[ 7]   张永彬 , 陈章才 , 陈旭东 , 等 . 磁粉制动轮转胶印机放卷张力的研究与仿真 [ J] . 阜阳师范学院学报 ( 自然科学版 ) , 2012( 3) : 69 -72.
[ 8]   林利红 , 陈小安 , 周伟 . 永磁交流伺服精密驱动系统机电耦合试验分析 [ J] . 重庆大学学报 , 2010( 5) : 22 -28.
[ 9]   林利红 , 陈小安 , 周伟 , 等 . 永磁交流伺服精密驱动系统机电耦合动力学分析 [ J] . 重庆大学学报 , 2009( 10) : 1132 -1137

【刷新页面】【加入收藏】【打印此文】 【关闭窗口】
上一篇:气动钻机测试台 下一篇:蜗轮减速机测试台